合作客户/
拜耳公司 |
同济大学 |
联合大学 |
美国保洁 |
美国强生 |
瑞士罗氏 |
相关新闻Info
推荐新闻Info
-
> 反离子盐KBr浓度对酰胺基阳离子Gemini表面活性剂的表/界面活性的影响(三)
> 基于孔溶液表面张力和黏度测试揭示增稠剂对流变参数和气泡结构的影响机制(二)
> 基于孔溶液表面张力和黏度测试揭示增稠剂对流变参数和气泡结构的影响机制(一)
> 反离子盐KBr浓度对酰胺基阳离子Gemini表面活性剂的表/界面活性的影响(二)
> 反离子盐KBr浓度对酰胺基阳离子Gemini表面活性剂的表/界面活性的影响(一)
> 典型离子型与非离子型起泡剂的界面行为对泡沫性能的影响机制
> 新无氰白铜锡电镀液及电镀方法可降低表面张力,促进镀液对复杂工件的润湿
> 一种耐超高温酸液体系、制备方法及其应用
> 纳米渗吸驱油剂种类、降低界面张力和改变润湿性的能力等机理研究(四)
> 复合驱中聚合物与阴离子表面活性剂的协同作用研究
泡沫的微观结构及演变动力学
来源:知乎 阿黄sweetgirl 浏览 1834 次 发布时间:2021-08-28
前面有一篇短文中介绍了水中的自由气泡的演变过程。然而,在实际生活中,草莓视频在线播放见到和经常使用的却是大量气泡组成的泡沫。本文介绍一下泡沫的微观结构静力学及其演变过程分析。
泡沫一般结构如图1所示,由于浮力作用,大量的气泡漂浮在液体的表层,从上往下含有的气泡的体积分数依次减小。在泡沫的研究中,把液体体积含量极少(通常少于1%)的泡沫成为干泡沫,把含量介于1%到约30%左右的泡沫成为湿泡沫。对于气泡液体,几乎所有的气泡可以保持为球形,不用考虑气泡之间直接接触的气泡膜问题,这不属于泡沫物理学研究的范畴。如图1所示,泡沫的结构尺度跨越10个数量级,从宏观泡沫的演变规律,到微观泡沫界面的稳定机制,对于泡沫的研究横跨了物理,材料,界面化学等多个学科。
图1.不同尺度下的泡沫结构及稳定机制(Ref 1)(a)整个泡沫结构,尺度为0.01 m至1 m。(b)干泡沫的放大部分,尺度为0.1 mm至1 cm。(c)液体通道,也叫Plateau边界,尺度为1 um至0.1 mm以及肥皂泡膜,尺度为10 nm到1 um。(d)气液界面的分子层结构,尺度为0.1 nm到10 nm。e-f)气泡膜在界面静电力排斥作用即楔裂压(disjoining pressure)的作用下而稳定存在。
(1)泡沫的结构规律
图2 Plateau及其干泡沫静态结构力学三定律(Ref 1)
泡沫物理学集中于研究泡沫的结构、静力学、动态演变及排液等内容。它是一个十分古老的学科,由比利时物理学家Plateau在19世纪中叶开创(图2a)。Plateau在数十年的失明的时光里,依旧通过指导他侄子做试验,坚持研究肥皂泡薄膜的几何形态及其背后隐藏的力学规律。1873年,他和侄子把自己的实验现象和分析结果做了系统整理,以法文发表,从此把对泡沫结构的研究由定性印象推到了量化阶段,开创了泡沫物理学(Ref 2)。在泡沫静力学方面,Plateau的主要贡献在于其提出了干泡沫的静态结构力学的三定律,它是后续泡沫研究的基石:
1)膜力学平衡:肥皂膜是光滑的,它的曲率半径是处处相等的,其大小可以用Laplace方程去计算。对于2维泡沫,每条气泡边界都是圆弧的一部分(图2b);
2)边力学平衡:三个肥皂膜相互接触总是形成三条边,且任意三条边的夹角必须为120°(图2b),此时力平衡并且体系能量最低。
3)顶点力学平衡:当四条边在空间形成一个顶点时,此顶点处的四条边任意两条的夹角都为109.5°,只有这个角度才能使膜以120°角互相连接达到力平衡(图2c)。
(2)泡沫的演变
Plateau的泡沫结构力学三定律对于后续泡沫的研究具有重要的意义。它直接引出了一系列有关气泡的推论。
比如,依据Plateau第一定律,可以推出,相邻三个相互接触的气泡的三条边界上的曲率之和为零(Curvature sum rule)。其中最重要地是1952年von Neumann利用它推导出了二维泡沫的演变方程(Ref 3)。
推导二维泡沫的演变方程需要用到几何荷数(Geometry charge)的概念。下面草莓视频在线播放首先介绍一下几何荷数的定义。
假设二维干泡沫中的任一气泡如图3b所示,气泡的边数为n,从a点开始,再回到a的边长分别标记为l1到ln,每边所对应的曲率为k1到kn(Plateau第一定律)。现在假设有一点从a点沿着边向b运动,到b点时,所走的路径为l1,转动的角度为这条边所对应的圆心角(向外为正,向内为负值),为k1*l1。此时要想继续沿着边运动,需要向内转动π/3角度(根据Plateau第二定律),如图3b所示。转动后继续运动,直到到达原来的点a。此过程,n条边总共在顶点处转动的角度为nπ/3,在边上转动的角度为
此点的运动方向变化总共为2π,可建立关系:
则几何荷数q的定义为:
图3 Von Neumann及二维干泡沫演化规律(Ref 1)
几何荷数的含义即是每边所对应的圆心角之和,其中对于气泡而言往外凸起的边为正值,往里凹下的边其圆心角为负值。几何荷数能够反应出气泡的平均凹凸程度,是对气泡平均形貌的一个表征。通过公式可以看出,边长大于6的气泡平均是凹下的,边长等于6的气泡平均是平的,而变长小于6的气泡,平均起来是凸起的,如图3c所示。
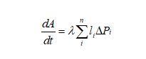
下面草莓视频在线播放推导二维泡沫的演变方程,由于任一气泡跟周围气泡的气体交换都是通过气泡边界进行的,则气泡体积(二维气泡用面积表示)随时间的变化率跟边界长度和边界上的压强差都有关系,可以表示为
式中λ为气体传输系数,根据Laplace方程可得
结合上式及上面q的推导过程公式,可得
二维泡沫的演变方程表明,气泡的变化只和其边的个数有关,对于边长大于6的气泡,随着演化体积会增大,边长等于6的气泡,其体积保持不变。而对于边长小于6的气泡,其体积会逐渐变小。注意,这儿体积保持不变,不代表气泡不与外界发生气体传输,只是表示进入气泡和出去气泡的体积是相等的,总体显示体积显示不变,也不代表气泡的边界不发生移动。
Von Neumann的二维演变方程的著名及其重要性是它不单单适用于二维泡沫,凡是具有网格结构的二维体系,界面移动受界面张力调控,其速率受界面曲率调控的情形都可以用这个方程去表达。这种情形在自然界中是十分普遍的,比如如水上面油脂分子层的演化、熔化时晶界的变化、冰晶的生长等(Ref 5,Ref 6)。
自从Von Neumann推出了二维泡沫的演变方程以来,人们一直希望能推导出三维泡沫的演变方程,直到50多年后的2007年,美国叶史瓦大学MacPherson等在Nature上发表了一篇题为“把von Neumann方程拓展到三维微结构粗化的研究”(The von Neumann relation generalized to coarsening of three-dimensional microstructures)的论文,完成了对三维泡沫体系演变方程的推导(Ref 7)。之后,加利福尼亚大学的Saye等于2013年在Science上发表论文,从模拟上实现了三维泡沫的结构重排、排液、破裂等一系列过程(图4),在泡沫演变历史上具有划时代的意义(Ref 4)。至此,人们对泡沫演变的规律得到了充分的认识。
图4目前对三维干泡沫演变的模拟研究65
Ref 1:I.Cantat,S.et al.Foams:Structure and Dynamics.Oxford University Press,Oxford,(20
Ref 1:I.Cantat,S.et al.Foams:Structure and Dynamics.Oxford University Press,Oxford,(2013).
Ref2:孙其诚&谭靓慧.泡沫物理学史拾萃.物理37,473-481(2008).
Ref3:Neumann,J.v.in Metal Interfaces(ed.Herring,C.),108-110(Americal Society for Metals,Cleveland,1952).
Ref 4:Saye,R.I.&Sethian,a.J.A.Multiscale Modeling of Membrane Rearrangement,Drainage,and Rupture in Evolving Foams.Science 340,720(2013).
Ref 5:Stavans,J.The evolution of cellular structures.Rep.Prog.Phys.56,733-789(1993).
Ref 6 Glazier,J.A.&Weaire,D.the kinetics of cellular patterns.J.Phys.:Condens.Matter 4,1867-1894(1992).
Ref 7:MacPherson,R.D.&Srolovitz,D.J.The von Neumann relation generalized to coarsening of three-dimensional microstructures.Nature 446,1053-1055(2007).
注:本文节选自本人博士毕业论文前言部分。





